SUMMARY CMI
APX-Clopidogrel/Aspirin 75/100
Consumer Medicine Information (CMI) summary
The full CMI on the next page has more details. If you are worried about using this medicine, speak to your doctor or pharmacist.
1. Why am I using APX-Clopidogrel/Aspirin 75/100?
APX-Clopidogrel/Aspirin 75/100 contains the active ingredient clopidogrel and aspirin. APX-Clopidogrel/Aspirin 75/100 is used to prevent blood clots forming in hardened blood vessels (a process known as atherothrombosis) which can lead to events such as stroke, heart attack or death. For more information, see Section 1. Why am I using APX-Clopidogrel/Aspirin 75/100? in the full CMI.
2. What should I know before I use APX-Clopidogrel/Aspirin 75/100?
Do not use if you have ever had an allergic reaction to APX-Clopidogrel/Aspirin 75/100 or any of the ingredients listed at the end of the CMI. Talk to your doctor if you have any other medical conditions, take any other medicines, or are pregnant or plan to become pregnant or are breastfeeding. For more information, see Section 2. What should I know before I use APX-Clopidogrel/Aspirin 75/100? in the full CMI.
3. What if I am taking other medicines?
Some medicines may interfere with APX-Clopidogrel/Aspirin 75/100 and affect how it works. A list of these medicines is in Section 3. What if I am taking other medicines? in the full CMI.
4. How do I use APX-Clopidogrel/Aspirin 75/100?
Take APX-Clopidogrel/Aspirin 75/100 only as prescribed by your doctor and follow his or her directions carefully. More instructions can be found in Section 4. How do I use APX-Clopidogrel/Aspirin 75/100? in the full CMI.
5. What should I know while using APX-Clopidogrel/Aspirin 75/100?
| Things you should do |
|
| Things you should not do |
|
| Driving or using machines |
|
| Drinking alcohol |
|
| Looking after your medicine |
|
For more information, see Section 5. What should I know while using APX-Clopidogrel/Aspirin 75/100? in the full CMI.
6. Are there any side effects?
Like other medicines APX-Clopidogrel/Aspirin 75/100 can cause some side effects. Most are likely to be minor and temporary. However, some may be serious and need medical attention. There are a number of side effects associated with this medicine. It is important to be aware of them so that you can identify any symptoms if they occur. For more information, including what to do if you have any side effects, see Section 6. Are there any side effects? in the full CMI.
FULL CMI
APX-Clopidogrel/Aspirin 75/100
Active ingredients: Clopidogrel (clop-id-o(h)-grel) and Aspirin (as-per-in)
Consumer Medicine Information (CMI)
This leaflet provides important information about using APX-Clopidogrel/Aspirin 75/100. You should also speak to your doctor or pharmacist if you would like further information or if you have any concerns or questions about using APX-Clopidogrel/Aspirin 75/100.
Where to find information in this leaflet:
1. Why am I using APX-Clopidogrel/Aspirin 75/100?
2. What should I know before I use APX-Clopidogrel/Aspirin 75/100?
3. What if I am taking other medicines?
4. How do I use APX-Clopidogrel/Aspirin 75/100?
5. What should I know while using APX-Clopidogrel/Aspirin 75/100?
6. Are there any side effects?
7. Product details
1. Why am I using APX-Clopidogrel/Aspirin 75/100?
APX-Clopidogrel/Aspirin 75/100 contains the active ingredient clopidogrel and aspirin. APX-Clopidogrel/Aspirin 75/100 belongs to a group of medicines called anti-platelet medicines.
Platelets are very small blood cells which clump together during blood clotting. By preventing this clumping, anti-platelet medicines reduce the chances of blood clots forming (a process called thrombosis).
APX-Clopidogrel/Aspirin 75/100 is used to prevent blood clots forming in hardened blood vessels (a process known as atherothrombosis) which can lead to events such as stroke, heart attack or death.
You may have been prescribed APX-Clopidogrel/Aspirin 75/100 to help prevent blood clots forming and to reduce the risk of heart attack, stroke or death, because you have suffered a severe type of chest pain called unstable angina, or had a heart attack.
Your doctor may have prescribed this medicine for another use. If you want more information, ask your doctor.
APX-Clopidogrel/Aspirin 75/100 is only available on a doctor's prescription.
2. What should I know before I use APX-Clopidogrel/Aspirin 75/100?
Warnings
Do not use APX-Clopidogrel/Aspirin 75/100 if:
- you are allergic to clopidogrel, aspirin, salicylates, anti-inflammatories (Non-Steroidal Anti-Inflammatory Drugs) or any of the ingredients listed under 'Product Description' at the end of this leaflet.
Always check the ingredients to make sure you can use this medicine. - you have a medical condition that is causing bleeding such as a haemophilia, stomach ulcer or bleeding within your head or bowel.
- you suffer from severe liver disease.
- you have asthma, rhinitis or nasal polyps.
- the packaging shows signs of tampering.
- the expiry date on the pack has passed. If you use this product after the expiry date has passed, it may not work.
Do not take APX-Clopidogrel/Aspirin 75/100 to treat any other complaint unless your doctor says it is safe. Do not give this medicine to anyone else.
Check with your doctor if you:
- you have allergies to:
- any other medicines
- any other substances, such as foods, preservatives or dyes - take any medicines for any other condition
- have any other medical conditions, especially the following:
- bleeding disorders or blood clotting problems
- any illness or disability that was caused by bleeding, for example impaired sight or vision because of bleeding within the eye
- recent serious injury
- recent surgery (including dental surgery)
- any form of liver disease
- any recent history of stroke
- any form of kidney disease
- history of stomach ulcers or other problems with your digestive system
- inherited diseases causing galactose intolerance, glucose-galactose malabsorption
- Lapp lactase deficiency
- glucose-6-phosphate dehydrogenase (G6PD) deficiency
- gout
- asthma or allergies
- allergic to other antiplatelet medicines (such as ticlopidine, prasugrel) - You are planning to have an operation (including dental surgery) in the next two weeks. Your doctor will decide whether or not you need to stop APX-Clopidogrel/Aspirin 75/100 prior to surgery
If you have not told your doctor about any of the above, tell him/her before you start taking APX-Clopidogrel/Aspirin 75/100.
Some patients may not convert APX-Clopidogrel/Aspirin 75/100 to its active form as well as other patients. These patients may not get the same benefit from APX-Clopidogrel/Aspirin 75/100. Your doctor may advise you to go for tests to determine if APX-Clopidogrel/Aspirin 75/100 will adequately work for you. Based on the test results, your doctor may change your dose of APX-Clopidogrel/Aspirin 75/100 or consider alternative treatments for you.
During treatment, you may be at risk of developing certain side effects. It is important you understand these risks and how to monitor for them. See additional information under Section 6. Are there any side effects?
Pregnancy and breastfeeding
Do not use APX-Clopidogrel/Aspirin 75/100 in the third trimester of pregnancy.
It is recommended not to take this medicine during first and second trimesters of pregnancy. Taking clopidogrel plus aspirin may harm your unborn baby.
If you are pregnant or suspect that you are pregnant, you should tell your doctor or your pharmacist before taking clopidogrel plus aspirin. If you become pregnant while taking clopidogrel plus aspirin, consult your doctor immediately as it is recommended not to take clopidogrel plus aspirin while you are pregnant.
Do not take APX-Clopidogrel/Aspirin 75/100 if you are breast feeding or intend to breast feed. APX-Clopidogrel/Aspirin 75/100 passes into breast milk and, therefore, there is the possibility that the breast fed baby may be affected.
Use in Children
APX-Clopidogrel/Aspirin 75/100 is not recommended for children as its safety and effectiveness in children have not been established.
3. What if I am taking other medicines?
Tell your doctor or pharmacist if you are taking any other medicines, including any medicines, vitamins or supplements that you buy without a prescription from your pharmacy, supermarket or health food shop.
Some medicines may interfere with APX-Clopidogrel/Aspirin 75/100 and affect how it works. These include:
- aspirin - APX-Clopidogrel/Aspirin 75/100 already contains aspirin. Taking additional aspirin is not recommended. Please check with your doctor first.
- clopidogrel - APX-Clopidogrel/Aspirin 75/100 already contains clopidogrel. Taking additional clopidogrel is not recommended. Please check with your doctor first.
- medicines that "thin the blood". The most common examples of these include heparins and warfarin. There are others so please check with your doctor.
- non-steroidal anti-inflammatory drugs (NSAIDs) - medicines used to treat arthritis, period pain, aches and pains such as ibuprofen.
- nicorandil - a medicine used to treat angina.
- steroids e.g., hydrocortisone.
- bupropion.
- diazepam.
- some gout medicines.
- some antidepressant medicines.
- antiretrovirals e.g tenofovir.
- ciprofloxacin, chloramphenicol, fluconazole and voriconazole - medicines used to treat infections.
- varicella vaccine.
- methotrexate - a medicine used to treat cancer or arthritis.
- Acetazolamide - a medicine used to treat glaucoma.
- carbamazepine, oxcarbazepine, phenytoin and valproic acid - medicines used to treat epilepsy.
- tolbutamide, repaglinide and chlorpropamide - medicines used to treat diabetes.
- tamoxifen and paclitaxel medicines used to treat breast cancer.
- levothyroxine - a medicine used to treat low thyroid activity.
- fluvastatin - a medicine used to lower cholesterol.
- ACE inhibitors or angiotensin receptor antagonists plus a thiazide diuretic. These medicines are used to treat high blood pressure. In some cases the medicines may be used together to treat other cardiovascular diseases
- medicines used to prevent gastric reflux - proton pump inhibitors (e.g., omeprazole)
- certain type of pain relief medicines called opiates.
- rosuvastatin (used to lower your cholesterol level)
These medicines may be affected by APX-Clopidogrel/Aspirin 75/100 or affect how well APX-Clopidogrel/Aspirin 75/100 works.
Your doctor may need to change the amount of your medicines, or you may need to take different medicines.
Check with your doctor or pharmacist if you are not sure about what medicines, vitamins or supplements you are taking and if these affect APX-Clopidogrel/Aspirin 75/100.
4. How do I use APX-Clopidogrel/Aspirin 75/100?
How much to take
APX-Clopidogrel/Aspirin 75/100 is to be used under medical supervision only.
Your doctor will tell you how many tablets to take each day. Take APX-Clopidogrel/Aspirin 75/100 only as prescribed by your doctor and follow his or her directions carefully. They may differ from the information contained in this leaflet.
- The usual dose of APX-Clopidogrel/Aspirin 75/100 is one tablet daily.
- APX-Clopidogrel/Aspirin 75/100 contains 75 mg clopidogrel and 100 mg aspirin
- You may receive a starting dose of 300 mg clopidogrel, then one APX-Clopidogrel/Aspirin 75/100 tablet daily.
Take APX-Clopidogrel/Aspirin 75/100 at about the same time each day. Taking your tablet at the same time each day will have the best effect. It will also help you to remember when to take it.
Should your doctor require you to take higher doses of aspirin you will be switched to separate tablets and no longer take APX-Clopidogrel/Aspirin 75/100.
Follow the instructions provided and use APX-Clopidogrel/Aspirin 75/100 until your doctor tells you to stop.
When to take APX-Clopidogrel/Aspirin 75/100
- Take APX-Clopidogrel/Aspirin 75/100 during or immediately after a meal. You should swallow the tablet with a glass of water.
- You should take APX-Clopidogrel/Aspirin 75/100 for as long as your doctor continues to prescribe it.
If you forget to use APX-Clopidogrel/Aspirin 75/100
If you miss a dose, take it as soon as you remember. If it is almost time for your next dose, skip the dose you missed and take your next dose when you are meant to.
If it is almost time for your next dose, skip the dose you missed and take your next dose when you are meant to.
Do not take a double dose to make up for the dose you missed.
- If you are not sure what to do, ask your doctor or pharmacist.
- If you have trouble remembering to take your medicine, ask your pharmacist for some hints.
If you use too much APX-Clopidogrel/Aspirin 75/100
If you think that you have used too much APX-Clopidogrel/Aspirin 75/100, you may need urgent medical attention.
You should immediately:
- phone the Poisons Information Centre
(by calling 13 11 26), or - contact your doctor, or
- go to the Emergency Department at your nearest hospital.
You should do this even if there are no signs of discomfort or poisoning.
5. What should I know while using APX-Clopidogrel/Aspirin 75/100?
Things you should do
- take APX-Clopidogrel/Aspirin 75/100 exactly as your doctor has prescribed, and have any blood tests promptly if your doctor orders them.
- tell your doctor if you become pregnant while taking APX-Clopidogrel/Aspirin 75/100.
- tell your doctor if you decide to breastfeed your baby. Your doctor may want to discuss this and change your medicine.
- tell your doctor that you are taking APX-Clopidogrel/Aspirin 75/100 if you are about to start on any new medicine.
- tell all your doctors, dentists, nurses and pharmacists that you are taking APX-Clopidogrel/Aspirin 75/100. APX-Clopidogrel/Aspirin 75/100 may increase the risk of bleeding during an operation or some dental work. Therefore, treatment may need to be stopped before surgery. Your doctor will decide whether to stop APX-Clopidogrel/Aspirin 75/100 and if so, how long before surgery or dental work.
- ask your doctor whether there are any activities you should avoid while taking APX-Clopidogrel/Aspirin 75/100, for example certain sports. Sometimes after an injury bleeding may occur inside your body without you knowing about it.
Call your doctor straight away if you:
- if you are injured while taking APX-Clopidogrel/Aspirin 75/100.
- It may take longer than usual to stop bleeding while you are taking APX-Clopidogrel/Aspirin 75/100.
- if you notice any of the following:
- abnormal bruising or bleeding
- abnormal nose bleeds
- bloody or black bowel motions
- red or purple blotches on your skin
- swelling of the face, lips, mouth, tongue or throat which may cause difficulty swallowing or breathing (see also 'Side effects' section)
- symptoms or signs of Drug Reaction with Eosinophilia and Systemic Symptoms (DRESS) which may include flu-like symptoms and a rash with fever, enlarged lymph nodes and increase in a type of white blood cell (eosinophilia). Other abnormal blood test results may include (but are not limited to) increased levels of liver enzymes
Things you should not do
- Do not stop using this medicine suddenly without telling your doctor.
Driving or using machines
Be careful before you drive or use any machines or tools until you know how APX-Clopidogrel/Aspirin 75/100 affects you.
APX-Clopidogrel/Aspirin 75/100 may cause faintness or dizziness in some people. Make sure you know how you react to APX-Clopidogrel/Aspirin 75/100 before you drive a car or operate machinery, or do anything else that could be dangerous if you are faint or dizzy. If this occurs, do not drive. If you drink alcohol, faintness or dizziness may be worse.
Drinking alcohol
Tell your doctor if you drink alcohol.
The consumption of alcohol may affect how well APX-Clopidogrel/Aspirin 75/100 works; it may increase blood loss and stomach irritation. Please ask your doctor for more information.
Looking after your medicine
- Keep your tablets in the blister pack until it is time to take them.
- If you take your tablets out of the box or blister pack they will not keep well.
Follow the instructions in the carton on how to take care of your medicine properly.
Store it in a cool dry place where the temperature stays below 25°C away from moisture, heat or sunlight; for example, do not store it:
- in the bathroom or near a sink, or
- in the car or on window sills.
Heat and dampness can destroy some medicines. Do not leave APX-Clopidogrel/Aspirin 75/100 in the car on hot days.
Keep it where young children cannot reach it.
A locked cupboard at least one and a half metres above the ground is a good place to store medicines.
Getting rid of any unwanted medicine
If you no longer need to use this medicine or it is out of date, take it to any pharmacy for safe disposal.
Do not use this medicine after the expiry date.
6. Are there any side effects?
All medicines can have side effects. If you do experience any side effects, most of them are minor and temporary. However, some side effects may need medical attention.
See the information below and, if you need to, ask your doctor or pharmacist if you have any further questions about side effects.
Less serious side effects
| Less serious side effects | What to do |
General
| Speak to your doctor if you have any of these less serious side effects and they worry you. |
Serious side effects
| Serious side effects | What to do |
Blood-related
| Call your doctor straight away, or go straight to the Emergency Department at your nearest hospital if you notice any of these serious side effects. |
Tell your doctor or pharmacist if you notice anything else that may be making you feel unwell.
Other side effects not listed here may occur in some people.
Reporting side effects
After you have received medical advice for any side effects you experience, you can report side effects to the Therapeutic Goods Administration online at www.tga.gov.au/reporting-problems. By reporting side effects, you can help provide more information on the safety of this medicine.
Always make sure you speak to your doctor or pharmacist before you decide to stop taking any of your medicines.
7. Product details
This medicine is only available with a doctor's prescription.
What APX-Clopidogrel/Aspirin 75/100 contains
| Active ingredient (main ingredient) | APX-Clopidogrel/Aspirin 75/100 75mg/100mg: clopidogrel 75 mg, aspirin 100 mg |
| Other ingredients (inactive ingredients) |
|
Do not take this medicine if you are allergic to any of these ingredients.
What APX-Clopidogrel/Aspirin 75/100 looks like
APX-Clopidogrel/Aspirin 75/100 is available as:
APX-Clopidogrel/Aspirin 75/100 75mg/100mg tablets: light pink, oval tablets with 'C75' on one side and 'A100' on the other.
ARTG 339625.
Supplied in a box containing 30 tablets.
Who distributes APX-Clopidogrel/Aspirin 75/100
APX-Clopidogrel/Aspirin 75/100 is supplied in Australia by:
Arrotex Pharmaceuticals Pty Ltd
15-17 Chapel Street
Cremorne, Vic, 3121
Australia
This leaflet was prepared in February 2023.
apx-clop-asp-ccdsv23-24-cmiv4-03feb23
Published by MIMS March 2023
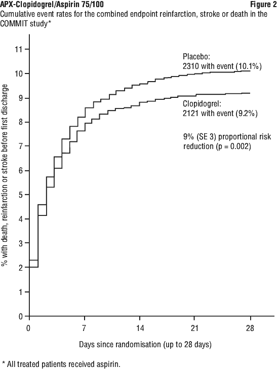
Clinically relevant adverse reactions not listed above pooled from CAPRIE, CURE, CLARITY and COMMIT studies with an incidence of ≥ 0.1% as well as all serious and clinically relevant adverse reactions are listed below according to the World Health Organisation classification.
The randomised, double-blind, placebo-controlled, 2 x 2 factorial design COMMIT trial included 45,852 patients presenting within 24 hours of the onset of the symptoms of suspected myocardial infarction with supporting ECG abnormalities (i.e. ST elevation, ST depression or left bundle-branch block). Patients were randomised to receive clopidogrel (75 mg/day) or placebo, in combination with aspirin (162 mg/day), for 28 days or until hospital discharge, whichever came first.
The benefit associated with clopidogrel on the combined endpoint was consistent across age, gender and with or without fibrinolytics and was observed as early as 24 hours.

Consistent with the above results, in a meta analysis including 6 studies of 335 clopidogrel treated subjects at steady state, it was shown that active metabolite exposure was decreased by 28% for intermediate metabolisers, and 72% for poor metabolisers while platelet aggregation inhibition (5 microM ADP) was decreased with differences in IPA of 5.9% and 21.4%, respectively, when compared to extensive metabolisers.
Molecular Formula: C16H16ClNO2S.H2SO4.
Molecular Formula: C9H8O4.