SUMMARY CMI
NUCALA
Consumer Medicine Information (CMI) summary
The full CMI on the next page has more details. If you are worried about using this medicine, speak to your doctor or pharmacist.
1. Why am I being given NUCALA?
NUCALA contains the active ingredient mepolizumab. NUCALA is used to treat severe eosinophilic asthma, chronic rhinosinusitis with nasal polyps (CRSwNP), and eosinophilic granulomatosis with polyangiitis (EGPA).
For more information, see Section 1. Why am I being given NUCALA? in the full CMI.
2. What should I know before I am given NUCALA?
Do not use if you have ever had an allergic reaction to mepolizumab or any of the ingredients listed at the end of the CMI.
Talk to your doctor if you have any other medical conditions, take any other medicines, or are pregnant or plan to become pregnant or are breastfeeding.
For more information, see Section 2. What should I know before I am given NUCALA? in the full CMI.
3. What if I am taking other medicines?
Some medicines may interfere with NUCALA and affect how it works.
A list of these medicines is in Section 3. What if I am taking other medicines? in the full CMI.
4. How is NUCALA given?
- NUCALA is given to you by a healthcare professional, doctor, nurse or pharmacist as an injection just under the skin (subcutaneously).
More instructions can be found in Section 4. How is NUCALA given? in the full CMI.
5. What should I know while receiving NUCALA?
| Things you should do | 
 | 
| Things you should not do | 
 | 
| Driving or using machines | 
 | 
| Looking after your medicine | 
 | 
For more information, see Section 5. What should I know while receiving NUCALA? in the full CMI.
6. Are there any side effects?
Less serious side effects include headache, injection-site reaction, fatigue, fever, eczema, back pain, pharyngitis, nasal congestion, lower respiratory tract infection, chest infection, upper abdominal pain, vomiting, diarrhoea and urinary tract infection. Serious side effects include allergic or allergic-like events.
For more information, including what to do if you have any side effects, see Section 6. Are there any side effects? in the full CMI.
FULL CMI
NUCALA
Active ingredient: mepolizumab 100 mg powder for injection
Consumer Medicine Information (CMI)
This leaflet provides important information about using NUCALA. You should also speak to your doctor or pharmacist if you would like further information or if you have any concerns or questions about using NUCALA.
Where to find information in this leaflet:
1. Why am I being given NUCALA?
2. What should I know before I am given NUCALA?
3. What if I am taking other medicines?
4. How is NUCALA given?
5. What should I know while receiving NUCALA?
6. Are there any side effects?
7. Product details
1. Why am I being given NUCALA?
NUCALA contains the active ingredient mepolizumab. Mepolizumab is a monoclonal antibody that blocks a specific protein called interleukin-5. By blocking the action of interleukin-5, NUCALA limits the production of more eosinophils (a type of white blood cell) from the bone marrow and lowers the number of eosinophils in the bloodstream and the lungs.
NUCALA is used to treat severe eosinophilic asthma, chronic rhinosinusitis with nasal polyps (CRSwNP), and eosinophilic granulomatosis with polyangiitis (EGPA).
Severe eosinophilic asthma
Some people with severe asthma have too many eosinophils (a type of white blood cell) in the blood, lungs and tissues. Having too many eosinophils in your blood can damage the airways and can cause your asthma to get worse or can increase the number of your asthma flare ups.
NUCALA is used to treat asthma by reducing the frequency of asthma flare ups in adolescents (over 12 years of age) and adults who are already receiving asthma medicines, but whose asthma flare ups are not well controlled by medicines such as high-dose corticosteroid inhalers or beta-agonist inhalers.
NUCALA can also be used to help reduce the daily dose of oral corticosteroids in patients taking these medicines to control asthma symptoms and flare ups.
NUCALA does not treat acute asthma symptoms, such as a sudden asthma attack. Therefore, NUCALA should not be used to treat such symptoms.
Chronic rhinosinusitis with nasal polyps (CRSwNP)
Chronic rhinosinusitis with nasal polyps is a condition in which people have too many eosinophils in the blood, nose and sinuses. This can cause symptoms such as blocked nose and loss of smell, and soft jelly-like growths (called nasal polyps) to form inside the nose.
NUCALA reduces the number of eosinophils in the blood and in adults (18 years and above), can reduce the size of your polyps, relieve your nasal congestion and helps prevent surgery for nasal polyps.
NUCALA can also help reduce the need for oral corticosteroids to control your symptoms.
Eosinophilic Granulomatosis with Polyangiitis (EGPA)
EGPA is a condition where people have too many eosinophils in the blood and tissues, and also have inflammation of the blood vessels (vasculitis). EGPA most commonly affects the lungs and sinuses but often affects other organs including the skin, heart, kidneys, nerves or bowels.
NUCALA can reduce symptoms and delay a flare-up of these symptoms in people who are already taking corticosteroids.
NUCALA can also help reduce the daily dose of corticosteroids you need to control your symptoms.
Ask your doctor if you have any questions about why this medicine has been prescribed for you.
This medicine is available only with a doctor's prescription.
2. What should I know before I am given NUCALA?
Warnings
Do not use NUCALA if:
- you are allergic (hypersensitive) to mepolizumab, or any of the ingredients listed at the end of this leaflet.
- you are trying to treat acute asthma symptoms, such as a sudden asthma flare up.
- the expiry date printed on the pack has passed or if the packaging is torn or shows signs of tampering.
Always check the ingredients to make sure you can receive this medicine.
Check with your doctor if you:
- have any other medical conditions.
- take any medicines for any other condition.
- have had an allergic reaction to any other medicine before.
- have an existing parasitic infection or live in a region where infections caused by parasites are common or if you are travelling to such a region. NUCALA may weaken your resistance to such infections. Parasitic infections should be treated prior to starting treatment with NUCALA.
- experience worsening asthma symptoms while receiving injections.
- are not sure whether you should start using this medicine.
During treatment, you may be at risk of developing certain side effects, including asthma-related side effects or flare ups. It is important you understand these risks and how to monitor for them. See additional information under Section 6. Are there any side effects?
Your doctor has weighed any risks of you using NUCALA against the benefits they expect it will have for you. You can talk to your doctor about the risks and benefits of using this medicine.
You may need extra check-ups while you are being treated with NUCALA.
Action Plan
When NUCALA is used for the treatment of asthma, your doctor should give you a personal Action Plan to help manage your asthma. This plan will include what medicines to take regularly to control your asthma, as well as what "reliever" medicines to use when you have sudden attacks of breathlessness or wheezing.
Ask your doctor or pharmacist if you have any questions about your Action Plan.
Pregnancy and breastfeeding
Check with your doctor if you are pregnant or intend to become pregnant. Do not receive NUCALA without asking your doctor.
Your doctor will consider the benefit to you and the risk to you and your baby of being given NUCALA while you are pregnant.
Talk to your doctor if you are breastfeeding or intend to breastfeed before you are given NUCALA.
It is not known whether the ingredients of NUCALA can pass into breast milk. Your doctor can discuss with you the risks and benefits involved.
Children and adolescents
- For severe eosinophilic asthma, NUCALA is not recommended for children aged under 12 years or in adolescents who weigh less than 45 kg, as the safety and effectiveness are not known in this population.
- For nasal polyps and EGPA, NUCALA may be used in adults only (18 years and above). NUCALA has not been tested in children with nasal polyps or EGPA.
3. What if I am taking other medicines?
Tell your doctor or pharmacist if you are taking any other medicines, including any medicines, vitamins or supplements that you buy without a prescription from your pharmacy, supermarket or health food shop. This should include all of the medicines that you are using for your asthma.
Some medicines may interfere with NUCALA and affect how it works.
Corticosteroids:
- If you had been prescribed corticosteroids prior to starting NUCALA, do not suddenly stop taking corticosteroids.
- Corticosteroids must be stopped gradually, under the supervision of your doctor.
Check with your doctor or pharmacist if you are not sure about what medicines, vitamins or supplements you are taking and if these affect NUCALA.
4. How is NUCALA given?
How is it given
NUCALA is given to you by a Healthcare Professional (HCP) as an injection just under the skin (subcutaneously).
How much is given
Severe eosinophilic asthma:
- The recommended dose is 100 mg.
- You will be given 1 injection, once every four weeks.
Chronic rhinosinusitis with nasal polyps:
- The recommended dose for adults aged 18 years and over is 100 mg.
- You will be given 1 injection, once every four weeks.
EGPA:
- The recommended dose for adults aged 18 years and over is 300 mg.
- You will be given 3 injections once every four weeks.
If you forget to receive NUCALA
If a dose of NUCALA is missed, contact your doctor or hospital as soon as possible to re-schedule your appointment.
- If you are not sure what to do, ask your doctor or pharmacist.
- If you have trouble remembering to take your medicine, ask your pharmacist for some hints.
If you receive too much NUCALA (overdose)
If you think that you or anyone else has received too much NUCALA, you may need urgent medical attention.
You should immediately:
- phone the Poisons Information Centre
 (by calling 13 11 26 in Australia), or
- contact your doctor, or
- go to the Emergency Department at your nearest hospital.
You should do this even if there are no signs of discomfort or poisoning.
5. What should I know while receiving NUCALA?
Things you should do
- If you have an Action Plan for your asthma that you have agreed with your doctor, follow it closely at all times.
- Remind any doctor, dentist or pharmacist you visit that you are using NUCALA, especially if you are about to be started on any new medicine.
- If you are going to have surgery, tell the surgeon or anaesthetist that you are using NUCALA.
- Keep all of your doctor's appointments so that your progress can be checked.
- Ask your doctor, pharmacist or nurse if you have any further questions on the use of this medicine.
Call your doctor straight away if you:
- experience any serious side effects.
For more information, including what to do if you have any side effects, see Section 6. Are there any side effects?.
Things you should not do
- Do not stop receiving injections of NUCALA unless your doctor tells you to. Interrupting or stopping treatment with NUCALA may cause your asthma symptoms and flare ups to come back or occur more frequently.
- Do not use NUCALA after the expiry date shown on the pack or if the packaging is torn or shows signs of tampering.
Driving or using machines
Be careful before you drive or use any machines or tools until you know how NUCALA affects you.
This medicine is not expected to affect your ability to drive a car or operate machinery.
Looking after your medicine
Follow the instructions in the carton on how to take care of your medicine properly.
Unopened vials:
Refer to the product carton, which will state either:
- "Store at 2°C to 8°C (Refrigerate. Do not freeze)", or
- "Store below 25°C (Do not freeze)".
Keep the vial in the outer carton in order to protect from light.
Reconstituted solution:
- Store below 25°C.
Reconstituted solution does not need to be protected from light. It is stable for up to 6 hours. Discard after 6 hours if not used.
Do not store NUCALA or any other medicine in the bathroom or near a sink.
Do not leave NUCALA on a window sill or in the car.
Keep it where young children cannot reach it.
When to discard your medicine
If your doctor tells you to stop using NUCALA or the expiry date has passed, ask your pharmacist what to do with any medicine that is left over.
Do not use this medicine after the expiry date or if the packaging is torn or shows signs of tampering.
The expiry date refers to the last day of that month.
Getting rid of any unwanted medicine
If you no longer need to use this medicine or it is out of date or damaged, take it to any pharmacy for safe disposal.
6. Are there any side effects?
All medicines can have side effects. If you do experience any side effects, most of them are minor and temporary. However, some side effects may need medical attention.
Do not be alarmed by the following list of side effects. You may not experience any of them.
Some side effects may occur more frequently in people with EGPA, including headache, injection site reactions, diarrhoea and vomiting.
See the information below and, if you need to, ask your doctor or pharmacist if you have any further questions about side effects.
Less serious side effects
| Less serious side effects | What to do | 
| Nervous system disorders: 
 
 
 
 
 
 
 | Speak to your doctor if you have any of these less serious side effects and they worry you. | 
Serious side effects
| Serious side effects | What to do | 
| Allergic or allergic-like reactions: 
 | Call your doctor straight away, or go straight to the Emergency Department at your nearest hospital if you notice any of these serious side effects. | 
Tell your doctor or pharmacist if you notice anything else that may be making you feel unwell.
Other side effects not listed here may occur in some people.
Reporting side effects
After you have received medical advice for any side effects you experience, you can report side effects to the Therapeutic Goods Administration online at www.tga.gov.au/reporting-problems. By reporting side effects, you can help provide more information on the safety of this medicine.
Always make sure you speak to your doctor or pharmacist before you decide to stop taking any of your medicines.
7. Product details
This medicine is only available with a doctor's prescription.
What NUCALA contains
| Active ingredient | Mepolizumab | 
| Other ingredients | Sucrose Dibasic sodium phosphate heptahydrate Polysorbate 80 | 
| Potential allergens | NUCALA does not contain any potential allergens | 
Do not take this medicine if you are allergic to any of these ingredients.
What NUCALA looks like
NUCALA 100 mg powder for injection is a sterile, white powder supplied in a single-use, clear, colourless type I glass vial with a rubber stopper.
NUCALA 100 mg powder for injection is available in a pack containing 1 single-use vial.
Each dose contains 100 mg of the active ingredient mepolizumab.
(AUST R 232028)
Who distributes NUCALA
GlaxoSmithKline Australia Pty Ltd
Level 4, 436 Johnston Street,
Abbotsford, Victoria, 3067
Phone: 1800 033 109
www.gsk.com.au
This leaflet was prepared on 15 April 2025.
The information provided applies only to: NUCALA powder for injection.
Trademarks are owned by or licensed to the GSK group of companies.
© 2025 GSK group of companies or its licensor.
Version 7.0
Published by MIMS July 2025
 
                            

 
  
 
 
  
  Additionally, health related quality of life was measured using SGRQ. At week 24, there was a statistically significant improvement in the mean SGRQ score for mepolizumab compared with placebo: -5.8 (95% CI: -10.6, -1.0; p = 0.019). At week 24, the proportion of subjects with a clinically meaningful decrease in SGRQ score (defined as a decrease of at least 4 units from baseline) was greater for mepolizumab (58%, 40/69) compared with placebo (41%, 27/66).
 Additionally, health related quality of life was measured using SGRQ. At week 24, there was a statistically significant improvement in the mean SGRQ score for mepolizumab compared with placebo: -5.8 (95% CI: -10.6, -1.0; p = 0.019). At week 24, the proportion of subjects with a clinically meaningful decrease in SGRQ score (defined as a decrease of at least 4 units from baseline) was greater for mepolizumab (58%, 40/69) compared with placebo (41%, 27/66). The co-primary endpoints were change from baseline in total endoscopic NP score at week 52 and change from baseline in mean nasal obstruction VAS score during weeks 49-52.
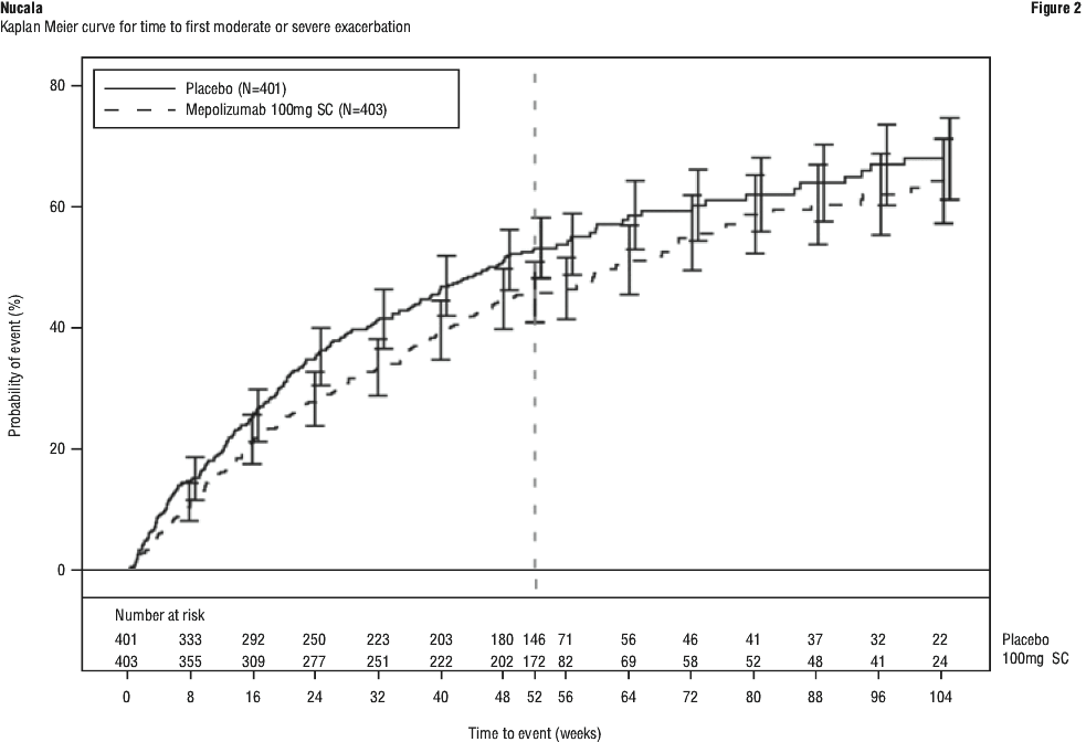
 The co-primary endpoints were change from baseline in total endoscopic NP score at week 52 and change from baseline in mean nasal obstruction VAS score during weeks 49-52. All secondary endpoints were statistically significant and provided support for the co-primary endpoints. The key secondary endpoint was the time to first NP surgery up to Week 52 (see Figure 1). Data from the other secondary endpoints are presented in Table 9.
 All secondary endpoints were statistically significant and provided support for the co-primary endpoints. The key secondary endpoint was the time to first NP surgery up to Week 52 (see Figure 1). Data from the other secondary endpoints are presented in Table 9.
 
  Additionally, a statistically significant benefit for these endpoints was demonstrated using remission defined as BVAS = 0 plus prednisolone/prednisone ≤ 7.5 mg/day. There was a greater accrued time in remission in the mepolizumab group compared with placebo, in subjects with a baseline blood eosinophil count (BEC) ≥ 150 cells/microL.
 Additionally, a statistically significant benefit for these endpoints was demonstrated using remission defined as BVAS = 0 plus prednisolone/prednisone ≤ 7.5 mg/day. There was a greater accrued time in remission in the mepolizumab group compared with placebo, in subjects with a baseline blood eosinophil count (BEC) ≥ 150 cells/microL. 
 